It’s been a while since I’ve written a NBA 2K League post. The league is back, somewhat, with a dramatic facelift (but the Celtics were in the finals thanks to a dynamic point guard, so all was back to normal). More to write something than anything else—the 5v5 league aspect of NBA 2K is not coming back anytime soon, to my knowledge—I decided to splice together a few thoughts on playoff game plan strategy as well as a few other things.
For the non-2K people: we’re going to focus on the 2024 NBA 2K League playoffs, where Warriors Gaming Squad (WGS), the Golden State Warriors’ NBA 2K League affiliate, completed their back-to-back championship campaign and finished the season with a record of 29-3, itself a league record. Over the offseason, former Santa Cruz Warriors player development coach Mike Newton, the WGS head coach of four years, departed for his hometown Cleveland Cavaliers; under the direction of WGS GM Rustin Lee, we brought in four-year Gen.G head coach Jordan “Len” Ross to lead the team in its quest for back-to-back rings.
There’s your background if you’re new to the 2K space. The larger question you may have, what does this have anything to do with traditional basketball, hangs over this piece, but a good first answer can be found here; a slightly worse second answer can be found by reaching out to me on Twitter (@josiahcohen13).
The most important aspect of game planning, to be clear, was that we simply had the horses: the starting five, unchanged between the two championships, went a combined 50-8 in 5v5 play and led the league in just about every team statistical category in doing so. That made game planning a lot easier; the players were on-court coaches (three went on to start for the USA Basketball E-National Team) and were almost always just better as a unit than the opponents. I could wax poetic about them, but that’s not the point here (perhaps another piece will explain, for once, why these pros were better than your random Rec 2K players). Plenty of teams over the years had the horses, but I think the staff did a really good job trying to optimize every piece around that.
The Process
I was a big believer in taking a consistent approach to playoff preparation, and thankfully WGS had more manpower than most 2KL teams to make it work. We were the first seed in the six-team Western Conference, like the previous year, so head coach Len, myself, and do-it-all guy Aaron Fox (follow him for more retail 2K content) each prepared scouting reports on teams 3-6, all potential first-round opponents (we’d played seeds 2, 3, and 4 several times during the season). Then we’d meet and prep gameplans for each; as we went deeper in the playoffs, we cross-checked the scouts we’d done against the latest gameplay from each team and prepared for the gameday film session with the team.
Personally, this involved going through each player and team and picking out some of their key individual stats and some things I like to call tendency stats. High shooting efficiency, for example, is a key individual stat, but it doesn’t tell you anything about a tendency. On the other hand, three-point rate, the % of a player’s shots taken behind the arc, tells you more about their tendencies than any quality. In the league, actually, that shallow a stat didn’t really tell you anything, because players played very similarly across positions—pick-and-roll-first point guards, for example, all took more than 50% of their shots from three. But I digress.
Anyways, I’d go get all the data and shot charts (90% of the time, overrated, due to the above; 10% of the time, extremely useful, if anyone deviated from the above) and then start watching a team.
The Pistons
Let’s look at the Pistons, for example. The Pistons’ offensive rating (points per 100 possessions) when they didn’t play us was 149.1, the best mark in the league (in totality, T-Wolves Gaming ranked first in the league in ORTG with 144.3; the average was 132.1). When they did play us, however, their offensive rating was 118.7, which would have been dead last in the league. Frankly, we knew the Pistons probably as well as they knew themselves, but that doesn’t mean we didn’t have to take them seriously. I’m going to use them as the main example here.
The Pieces
The single most important game plan development thing I learned during my time in the league was that it wasn’t enough to know what was coming. It was far more practicable to know when it was coming.
In 2023, we beat the Pistons in the conference semifinals not just because we were more talented but because they ran pretty much the same actions out of the same sets, cued by whoever was inbounding the ball. In 2024, they were much better at disguising their actions, and they had five playmakers, so they had more actions to run, which meant that their cues weren’t as set in stone.
That being said, they still had a few practicable takeaways from just their stats. Point guard Anthony “ANT” Costanzo, a perennial MVP candidate, played about as heliocentric an offense as you could in the 2KL (except for Ceez, who was half the player ANT was), running 5-out and leading the league in scoring usage at 37%. He also led the league in pass intake rate—the % of teammate passes going to a given player—getting about 80% of teammate passes. That meant if he gave it up, you were at liberty to jump the passback, as Kenneth “Kenny Got Work” Hailey did in the following clip (and, actually, on the following play as well):
The Film
We’ve gone this far without digging into the film side of things, which was the most important by far. If you didn’t watch film, you weren’t prepared; one of my favorite parts of the 2024 season was that more players started to watch film, which put them in a rare class among 2KL players and gave them a massive leg up in player development. I would categorize watching film as my number one job.
We used Synergy (god bless Synergy, especially during the regular season), but one had to be prepared to delve into past streams and the NBA content pipeline for full film. Broadcasts often missed plays and were generally inconsistent, but they were incredibly useful for one thing: listen-ins. Fox used to clip all of these, and I can think of no better insight into a team’s psyche (the occasional game plan note was gleaned, too, but it rarely told you anything you didn’t know if you did your homework).
I generally watched, noted, and clipped three to five full preceding games of an opponent and then would cross-check certain hunches (self-created shots, for example—was Ant driving a particular way? Did he shoot off a particular move more often than not? etc.) with deeper dives into particular playlists that Synergy compiled as part of its offering. Fox was particularly invaluable in shot-tracking 2K-specific things: did Ant like to “quickstop” (essentially, just stopping and shooting directly off a screen) or fade to the wing or middle more? We had all the answers to such questions for our playoff opponents, and those are the small details that make a big difference.
The more film you watched, the better your data analysis became. The more data analysis you did, the more you gained from watching film.
The Pieces, Put Together
So by now we had the film, the basic stats, and some advanced stats gleaned from the shot-tracking and from scraping the league’s expanded box scores (the pass intake rate, for example, came from the league’s box score API) and play-by-play (shot charts, etc.).
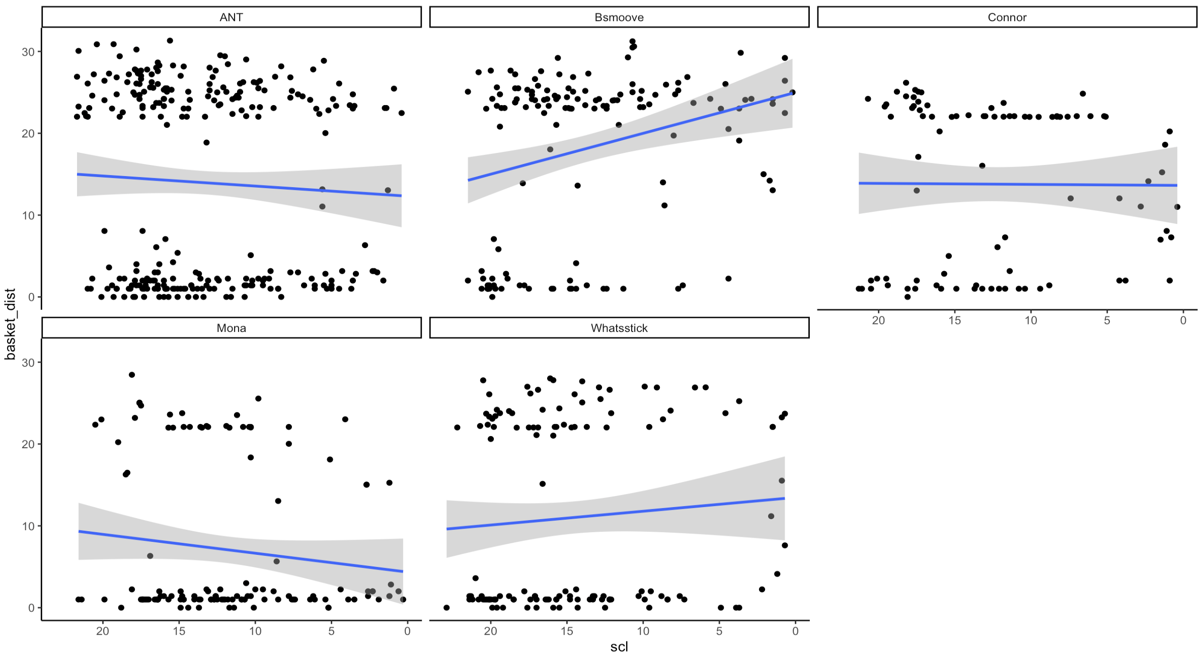
I had a few pet graphs by the playoffs that were particularly useful for my own understanding of opponent tendencies. I didn’t show these graphs to the players as part of the film session, so they didn’t need to look great. One looked at players’ average shot distance (“basket_dist” on the y-axis) by shot clock second (“scl” x-axis; I’ve also added the polished version):


Again, this isn’t intended to be a data science graph, it’s merely a tendency cross-check. Lo and behold: in the later half of the shot clock, stretch center (and New Zealand team captain) Solomon “Mona” Faitaua-Nanai generally stopped spacing the floor and started getting to the basket.
This aligned pretty well with the film prep. The Pistons had a diverse array of SLOBs, but the clue for which one was coming hinged on where Mona started the action and whether or not he caught the ball first. We knew from the alignment that an offball screen for the shooting guard was coming here, but that he usually slipped it when he started at the nail, as opposed to the elbow, as he does here. Moreover, under 14 on an inbound is late in the shot clock in 2K (players usually take two seconds to steady themselves after a close catch), so Mona had even more likelihood to slip:
Three-time champion power forward Jeremy “Seese” Seese saw it coming all the way and got a big steal en route to a big comeback in game one of the Western Conference Finals sweep.
I showed three offensive compilations in the Pistons playoff film session: one on ANT, one on their halfcourt offense, and one on their inbound plays, for a total of just 34 clips (the sweet spot was generally 20-25 clips, but hey, it was the playoffs!). Again, this was a team we knew well and had played a lot that season, but the WGS players were great at taking the reminders and new updates—Ant had started to shoot the three a lot more by the playoffs—and actualizing our communal game plan adjustments in-game. Clip compilations were what I found to be most effective for that particular group: I’d done powerpoints and other more formulaic write-ups and scouting reports before, but in the end, showing the compilations with the whole team discussing, my comments infused by the data, seemed to work best.
I’m probably too many words in at this point, so I’m going to cut it short and return to the subject matter at a later date. It’s largely cathartic—this brief window into five years of work can finally look both ways.


Leave a comment